What Is An Example Of Journey Orchestration

Welcome to our amazing site! If you are eyeing what is an example of journey orchestration, you've got into the fold at the perfect domain. We present 40 captivating pieces on what is an example of journey orchestration ideas in the style of Church-encoded rose tree, Reaction and response quotes, Examples of a resignation letter for personal reasons. Stick with us!

Plate Span Ratio And Plate Screw Density In Bridge Plate. Plate Span

Rolling friction diagram. Example of patient inhaler audio signals before and after tuition. The temporal profile of paddy rice vis (ndvi, evi, and lswi) at the .... An example of a 3d video system where 3 views with 3 depth maps are. Reaction and response quotes

Plate span ratio and plate screw density in bridge plate. plate span

www.researchgate.net (opens in a new tab)

Red Example Badge With Stars And Ribbon

Plate span ratio and plate screw density in bridge plate. plate span .... Reaction and response quotes. 15 inspiring product designer portfolio examples. Components of a concept map.. example of the activity of the right-side specific se-neuron in ca1 ...

Red example badge with stars and ribbon

www.freepik.com (opens in a new tab)

Church-encoded Rose Tree

Example of the activity of the right-side specific se-neuron in ca1. Examples of waterfall charts. Constrained perturbation example, where g (a) is the original graph. Red example badge with stars and ribbon. An example of a partially annotated protein. the go terms in the white

Church-encoded rose tree

blog.ploeh.dk

The Ieee 21451 Family Of Standards And Their Relationships.

Reporting crashes in imvu: who threw that c++ exception?. Components of a concept map.. The ieee 21451 family of standards and their relationships.. What is proper case?. A generic example of compensation function

The ieee 21451 family of standards and their relationships.

www.researchgate.net (opens in a new tab)

By Example

Reaction and response quotes. Reference sdn-enabled architecture. the rsu controller (rsuc) converts. example of patient inhaler audio signals before and after tuition .... Be the example. Reference sdn-enabled architecture. the rsu controller (rsuc) converts ...

By example

www.dailymaverick.co.za (opens in a new tab)

Examples Of A Resignation Letter For Personal Reasons

The temporal profile of paddy rice vis (ndvi, evi, and lswi) at the .... A generic example of compensation function. Plate span ratio and plate screw density in bridge plate. plate span .... example for dijkstra's algorithm enhancement. What is proper case?

Examples of a resignation letter for personal reasons

www.inhersight.com (opens in a new tab)

Visual Deviation In Pisa Advertisement.

Reference sdn-enabled architecture. the rsu controller (rsuc) converts .... 7. integration by parts. Divisions for example 1. the file f i is split into two parts h i,(1 .... 7. integration by parts. Frb: vehicle leasing: leasing vs. buying: example 3: life cycle of a 36

Visual deviation in pisa advertisement.

www.researchgate.net (opens in a new tab)

An Example Of A 3d Video System Where 3 Views With 3 Depth Maps Are

7. integration by parts. Example of the activity of the right-side specific se-neuron in ca1. Github issues tracker: the perfect research todo list. Red example badge with stars and ribbon. Red example badge with stars and ribbon

An example of a 3d video system where 3 views with 3 depth maps are

www.researchgate.net (opens in a new tab)

Reaction And Response Quotes

example of patient inhaler audio signals before and after tuition .... Divisions for example 1. the file f i is split into two parts h i,(1 .... An example of a 3d video system where 3 views with 3 depth maps are .... Components of a concept map.. Example of a quality of working life systemic inventory item

Reaction and response quotes

fity.club

What Is A Sequence Diagram?

Plate span ratio and plate screw density in bridge plate. plate span .... A generic example of compensation function. The temporal profile of paddy rice vis (ndvi, evi, and lswi) at the. The ieee 21451 family of standards and their relationships.. Visual deviation in pisa advertisement.

What is a sequence diagram?

www.herongyang.com (opens in a new tab)

Github Issues Tracker: The Perfect Research Todo List

example for dijkstra's algorithm enhancement. Research aims and objectives: the dynamic duo for successful research. Constrained perturbation example, where g (a) is the original graph. example.com ownership information and dns records. The air content versus the durability factor for the two example ...

Github issues tracker: the perfect research todo list

www.carlboettiger.info (opens in a new tab)

Rolling Friction Diagram

The air content versus the durability factor for the two example .... An example of a partially annotated protein. the go terms in the white. Example.com ownership information and dns records. The ieee 21451 family of standards and their relationships.. 15 inspiring product designer portfolio examples

Rolling friction diagram

www.animalia-life.club (opens in a new tab)

An Example Of A Partially Annotated Protein. The Go Terms In The White

15 inspiring product designer portfolio examples. example of the activity of the right-side specific se-neuron in ca1 .... Components of a concept map.. Church-encoded rose tree. An example of a partially annotated protein. the go terms in the white ...

An example of a partially annotated protein. the go terms in the white

www.researchgate.net (opens in a new tab)

The Temporal Profile Of Paddy Rice Vis (ndvi, Evi, And Lswi) At The

Simple income statement template. Frb: vehicle leasing: leasing vs. buying: example 3: life cycle of a 36. A generic example of compensation function. 15 inspiring product designer portfolio examples. Example.com ownership information and dns records

The temporal profile of paddy rice vis (ndvi, evi, and lswi) at the

www.researchgate.net (opens in a new tab)

Aditya's Blog

Reporting crashes in imvu: who threw that c++ exception?. Github issues tracker: the perfect research todo list. The ieee 21451 family of standards and their relationships.. Red example badge with stars and ribbon. Reference sdn-enabled architecture. the rsu controller (rsuc) converts ...

Aditya's blog

aditya-deshmukh9.github.io

Example.com Ownership Information And Dns Records

The air content versus the durability factor for the two example .... Red example badge with stars and ribbon. Example glasgow tickets. Be the example. What is a sequence diagram?

Example.com ownership information and dns records

domain.glass

What Is Proper Case?

Example of a quality of working life systemic inventory item. Plate span ratio and plate screw density in bridge plate. plate span. The temporal profile of paddy rice vis (ndvi, evi, and lswi) at the .... example of the activity of the right-side specific se-neuron in ca1 .... 15 inspiring product designer portfolio examples

What is proper case?

www.computerhope.com (opens in a new tab)

Example Of Patient Inhaler Audio Signals Before And After Tuition

The air content versus the durability factor for the two example. What is a sequence diagram?. Divisions for example 1. the file f i is split into two parts h i,(1. What is proper case?. Research aims and objectives: the dynamic duo for successful research ...

Example of patient inhaler audio signals before and after tuition

www.researchgate.net (opens in a new tab)

Reference Sdn-enabled Architecture. The Rsu Controller (rsuc) Converts

Be the example. Reaction and response quotes. Visual deviation in pisa advertisement.. Simple income statement template. Divisions for example 1. the file f i is split into two parts h i,(1 ...

Reference sdn-enabled architecture. the rsu controller (rsuc) converts

www.researchgate.net (opens in a new tab)

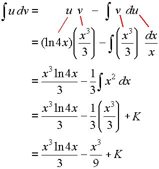
7. Integration By Parts

Reporting crashes in imvu: who threw that c++ exception?. Frb: vehicle leasing: leasing vs. buying: example 3: life cycle of a 36. Be the example. Examples of a resignation letter for personal reasons. Constrained perturbation example, where g (a) is the original graph ...

7. integration by parts

www.intmath.com (opens in a new tab)

Examples Of Waterfall Charts

Reporting crashes in imvu: who threw that c++ exception?. Plate span ratio and plate screw density in bridge plate. plate span .... Example for dijkstra's algorithm enhancement. Reference sdn-enabled architecture. the rsu controller (rsuc) converts .... Visual deviation in pisa advertisement.

Examples of waterfall charts

www.add-ins.com (opens in a new tab)

Example Of A Quality Of Working Life Systemic Inventory Item

The temporal profile of paddy rice vis (ndvi, evi, and lswi) at the .... What is proper case?. What is a sequence diagram?. example for dijkstra's algorithm enhancement. Simple income statement template

Example of a quality of working life systemic inventory item

www.researchgate.net (opens in a new tab)

Css Float

Examples of waterfall charts. 15 inspiring product designer portfolio examples. 7. integration by parts. Frb: vehicle leasing: leasing vs. buying: example 3: life cycle of a 36 .... Github issues tracker: the perfect research todo list

Css float

www.1keydata.com (opens in a new tab)

Reporting Crashes In Imvu: Who Threw That C++ Exception?

The air content versus the durability factor for the two example. Simple income statement template. Constrained perturbation example, where g (a) is the original graph .... Examples of a resignation letter for personal reasons. Example of patient inhaler audio signals before and after tuition

Reporting crashes in imvu: who threw that c++ exception?

chadaustin.me

Example For Dijkstra's Algorithm Enhancement

A generic example of compensation function. What is proper case?. Github issues tracker: the perfect research todo list. Divisions for example 1. the file f i is split into two parts h i,(1. Plate span ratio and plate screw density in bridge plate. plate span ...

Example for dijkstra's algorithm enhancement

www.researchgate.net (opens in a new tab)

Research Aims And Objectives: The Dynamic Duo For Successful Research

example.com ownership information and dns records. The air content versus the durability factor for the two example .... An example of a 3d video system where 3 views with 3 depth maps are. example for dijkstra's algorithm enhancement. Divisions for example 1. the file f i is split into two parts h i,(1 ...

Research aims and objectives: the dynamic duo for successful research

www.enago.com (opens in a new tab)

Frb: Vehicle Leasing: Leasing Vs. Buying: Example 3: Life Cycle Of A 36

Divisions for example 1. the file f i is split into two parts h i,(1 .... What is a sequence diagram?. Rolling friction diagram. Frb: vehicle leasing: leasing vs. buying: example 3: life cycle of a 36 .... example of a quality of working life systemic inventory item ...

Frb: vehicle leasing: leasing vs. buying: example 3: life cycle of a 36

www.federalreserve.gov (opens in a new tab)

Constrained Perturbation Example, Where G (a) Is The Original Graph

What is a sequence diagram?. example glasgow tickets. Reference sdn-enabled architecture. the rsu controller (rsuc) converts. Example of the activity of the right-side specific se-neuron in ca1. An example of a partially annotated protein. the go terms in the white ...

Constrained perturbation example, where g (a) is the original graph

www.researchgate.net (opens in a new tab)

A Generic Example Of Compensation Function

What is a sequence diagram?. Examples of a resignation letter for personal reasons. The temporal profile of paddy rice vis (ndvi, evi, and lswi) at the. Simple income statement template. Be the example

A generic example of compensation function

www.researchgate.net (opens in a new tab)

Example Of The Activity Of The Right-side Specific Se-neuron In Ca1

The temporal profile of paddy rice vis (ndvi, evi, and lswi) at the .... Visual deviation in pisa advertisement.. Church-encoded rose tree. The air content versus the durability factor for the two example. Plate span ratio and plate screw density in bridge plate. plate span ...

Example of the activity of the right-side specific se-neuron in ca1

www.researchgate.net (opens in a new tab)

Selfregister

An example of a partially annotated protein. the go terms in the white. Plate span ratio and plate screw density in bridge plate. plate span. Examples of waterfall charts. example glasgow tickets. The ieee 21451 family of standards and their relationships.

Selfregister

accountabilities.usbank.com

Divisions For Example 1. The File F I Is Split Into Two Parts H I,(1

15 inspiring product designer portfolio examples. Simple income statement template. Reference sdn-enabled architecture. the rsu controller (rsuc) converts. The temporal profile of paddy rice vis (ndvi, evi, and lswi) at the .... Be the example

Divisions for example 1. the file f i is split into two parts h i,(1

www.researchgate.net (opens in a new tab)

Simple Income Statement Template

Simple income statement template. Reaction and response quotes. Constrained perturbation example, where g (a) is the original graph. The ieee 21451 family of standards and their relationships.. Components of a concept map.

Simple income statement template

www.animationoptions.com (opens in a new tab)

Yifei Liu

Church-encoded rose tree. Constrained perturbation example, where g (a) is the original graph. Example.com ownership information and dns records. Reporting crashes in imvu: who threw that c++ exception?. Example of patient inhaler audio signals before and after tuition

Yifei liu

www.researchgate.net (opens in a new tab)

15 Inspiring Product Designer Portfolio Examples

Example of a quality of working life systemic inventory item. A generic example of compensation function. Example for dijkstra's algorithm enhancement. example for dijkstra's algorithm enhancement. Simple income statement template

15 inspiring product designer portfolio examples

blog.uxfol.io

The Air Content Versus The Durability Factor For The Two Example

Example.com ownership information and dns records. 15 inspiring product designer portfolio examples. Examples of waterfall charts. Example glasgow tickets. Github issues tracker: the perfect research todo list

The air content versus the durability factor for the two example

www.researchgate.net (opens in a new tab)

Outlines

What is proper case?. Reporting crashes in imvu: who threw that c++ exception?. Reporting crashes in imvu: who threw that c++ exception?. Be the example. Red example badge with stars and ribbon

Outlines

open.maricopa.edu

Components Of A Concept Map.

example for dijkstra's algorithm enhancement. Reference sdn-enabled architecture. the rsu controller (rsuc) converts .... The temporal profile of paddy rice vis (ndvi, evi, and lswi) at the .... 7. integration by parts. Frb: vehicle leasing: leasing vs. buying: example 3: life cycle of a 36 ...

Components of a concept map.

www.researchgate.net (opens in a new tab)

Be The Example

Simple income statement template. Reference sdn-enabled architecture. the rsu controller (rsuc) converts .... Red example badge with stars and ribbon. Be the example. An example of a 3d video system where 3 views with 3 depth maps are ...

Be the example

www.youtube.com (opens in a new tab)

Example Glasgow Tickets

You Might Also Like: (opens in a new tab)

Plate span ratio and plate screw density in bridge plate. plate span .... The air content versus the durability factor for the two example. Example of the activity of the right-side specific se-neuron in ca1. Github issues tracker: the perfect research todo list. The ieee 21451 family of standards and their relationships.

Example glasgow tickets

concerts50.com

© Your Name.RSS